异常凝血酶原(PIVKA II)——肝癌检测新指标
更新时间:2018/12/18 13:25:24 浏览次数:18683据国家癌症中心发布的“2014年中国分地区恶性肿瘤发病和死亡分析”统计,按发病例数排位,肺癌位居全国发病首位,其后依次为胃癌、结直肠癌、肝癌(每年发病约36.5万)和乳腺癌。按死亡例数顺位, 肺癌仍居全国恶性肿瘤死亡首位,其后依次为肝癌(死亡病例约31.9万)、胃癌、食管癌和结直肠癌。
肝癌是目前我国第四位的常见恶性肿瘤及第二位的肿瘤致死病因,严重威胁我国人民的生命和健康。
我国肝癌患者死亡率高的一个原因为早期诊断率低,目前常用的检测方法为超声检测和血清标志物AFP水平的测定,但是二者均有不足,超声检测易有漏诊、费用较高且诊断依赖于医生的经验;血清标志物AFP是目前最常用的肝癌检测的肿瘤标志物,但是它的特异性及早期检出率方面会有一定的缺陷。
早期诊断并及时治疗是提高肝癌五年生存率的重要途径。目前,除超声检测和AFP检测,PIVKA II的检测也可作为肝癌诊断的重要指标,可与AFP结合使用,提高检测效率。
PIVKA II
PIVKA-II是维生素K缺乏或拮抗剂-II诱导的蛋白质(Protein Induced by Vitamin K Absence or Antagonist-II),又称异常凝血酶原(Des-gamma-carboxy prothrombin, DCP),正常肝脏在维生素 K 作用下会产生凝血酶原,但在维生素 K 缺乏或者肝细胞癌患者中产生异常凝血酶原,其血清水平在维生素K缺乏的患者、使用华法林治疗的患者或肝细胞肝癌(HCC)患者的血清中会升高,可用于HCC的诊断。
日本肝癌学会已将PIVKA II列入肝癌诊疗规范中,推荐用于肝细胞癌高危人群的筛查及原发性肝癌的辅助诊断。国内最新版的慢性乙型肝炎防治指南(2015更新版)也将PIVKA II列为肝细胞癌的重要诊断指标,可与AFP互为补充。

PIVKA II在不同人群中的浓度
检测76例肝细胞癌(HCC)患者的PIVKA II血清含量,91%的患者 (69例)PIVKA II水平含量明显升高,平均水平为900ng/ml。在慢性活动性肝炎患者或转移性肝癌患者中,PIVKA II水平很低,且在健康人群中检测不到。
PIVKA II & AFP
二者的区别
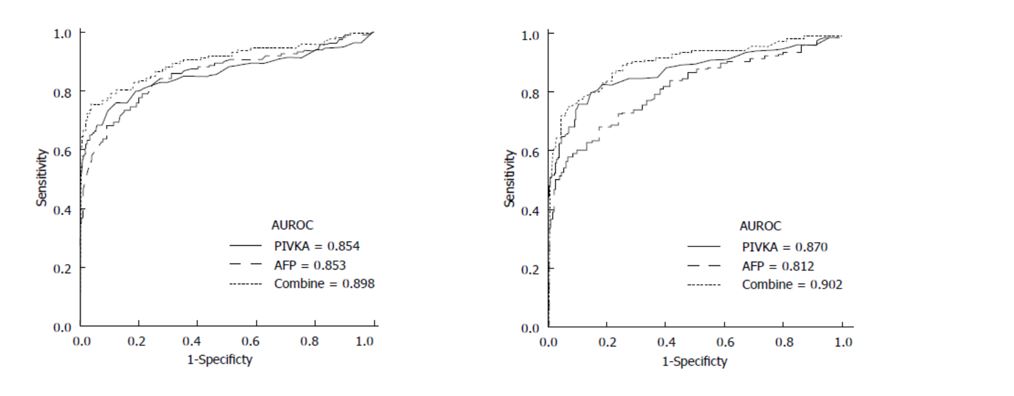
PIVKA II,AFP,AFP-L3在区分肝细胞癌和肝硬化的诊断价值
由于肝细胞癌中的 PIVKA-II 与 AFP 血清水平,互不相关,二者可以联合应用,提高肝细胞癌诊断的特异性。
PIVKA II,AFP,二者联合检测在肝细胞癌和良性慢性乙型肝炎(左图)或肝硬化(右图)中的灵敏度和特异性比较
PIVKA II 临床意义
肝细胞癌的诊断
有助于高危人群的筛查
配合超声检测等影像学有助于对肝细胞癌进行辅助诊断
肝细胞癌的动态监测,PIVKA-II血清半衰期约40~72小时,比AFP短3~5天,能更及时反映HCC的疗效。
辅助判断疾病进展
有助于肝细胞癌的预后判断
有助于治疗效果评估
有助于治疗后复发的早期检测
与AFP无相关性,二者血清水平的变动互不依赖
金斯瑞PIVKA II & AFP
金斯瑞最新推出可用于PIVKA II检测的单抗1C5(自产), 可用作包被抗体,已在发光平台通过验证,另有在层析平台通过验证的AFP配对单抗,产品信息如下,欢迎各位老师申领试用装!
参考文献:
H.A. Liebman, B.C. Furie, M.J. Tong, R.A. Blanchard, K.J. Lo, S.D. Lee, et al.Des-gamma-carboxy (abnormal) prothrombin as a serum marker of primary hepatocellular carcinoma N. Engl. J. Med., 310 (1984), pp. 1427-1431
慢性乙型肝炎防治指南(2015更新版)
2014 年中国分地区恶性肿瘤发病和死亡分析
原发性肝癌诊疗规范(2017年版)
Hao Xing, et al. Clinical application of protein induced by vitamin K antagonist-II as a biomarker in hepatocellular carcinoma. Tumor Biol. (2016) 37:15447–15456
Seung In Seo, et al. Diagnostic value of PIVKA-Ⅱ and alpha-fetoprotein in hepatitis B virus-associated hepatocellular carcinoma. World J Gastroenterol 2015 April 7; 21(13): 3928-3935
Peipei Song, et al. Clinical utility of simultaneous measurement of alpha-fetoprotein and des-γ-carboxy prothrombin for diagnosis of patients with hepatocellular carcinoma in China: A multi-center case-controlled study of 1,153 subjects. BioScience Trends. 2014; 8(5):266-273
Sang Joon Park, et al. Usefulness of AFP, AFP-L3, and PIVKA-II,and their combinations in diagnosing hepatocellular carcinoma. Medicine (2017) 96:11(e5811)
看客请留步
金斯瑞公司跟随IVD行业的发展,依靠14年的抗体研发经验,厚积薄发,已经在原料领域展示出国产原料该有的风采!公司依靠强大的技术和生产平台,拥有多种资质,是国内颇有实力的IVD自产原料供应商,我们的PG I, PG II, 25-OH VD3, cTnI, BNP, D-Dimer, MYO, S100, h-FABP, Lp-PLA2, AMH, SAA, ALK等靶点的原料已经受到了广泛的认可。
公司立足于为广大IVD厂商提供优质、性价比高、满足需求的核心原料,在企业发展的道路上,金斯瑞立足长远,与您携手并进!
扫描下载体外诊断头条APP
扫描关注CAIVD官方微信
扫描关注CAIVD官方视频号
扫描关注CACLP官方微信
扫描关注CACLP官方视频号
全国卫生产业企业管理协会实验医学分会
( 京ICP备15010734号-10 )



