慢性肝病及早期肝癌诊断
更新时间:2017/12/5 14:32:05 浏览次数:5158目前,肝癌是世界上最常见的癌症之一,已经成为了一个世界性难题,全球每年约有25万人死于肝癌,我国目前因肝癌的死亡人数约占全球死亡人数的45%~50%。肝癌发病较为隐匿,治疗难度大,手术并发症多,疗效不佳,一般发病后患者生存时间仅为6个月。
目前,甲胎蛋白(AFP)是唯一的推荐用于诊断原发性肝癌的血清标志物。但AFP作为早期肝癌诊断指标,灵敏度为39%~64%,特异性为76~79%,阳性预测值为9~32%。然而现有的超声和影像医学的准确性对于操作者有依赖性,所以需要敏感性和特异性更高的肿瘤标志物用于辅助肝癌诊断。
高尔基蛋白73(GP73),又称为Ⅱ型高尔基跨膜蛋白(GOLPH2)或高尔基体膜蛋白Ⅰ(GOML1),分子量74KD。GP73主要由胆管上皮细胞表达,而肝细胞表达很少甚至不表达。
在整个肝病发展过程中,血清中GP73浓度变化如图1所示.
图1. 血清中GP73浓度随肝病发展变化规律
1. 在急性肝炎发病时,GP73含量急剧上升,随着病情缓解又迅速下降;
2. 在慢性肝病发展过程中,GP73逐渐上升,随病情缓解又逐步下降;
3. 在肝癌发展过程中,GP73随肝癌的发展随之上升;
表1. GP73浓度与肝癌的关系
杭州博茵生物技术有限公司(以下简称博茵生物)经过多年潜心研发,通过大量样本筛选,正式国内首创GP73配对抗原抗体原料。目前该系列抗体共有3株,分别为2株标记抗体,1株包被抗体,经过多个平台验证与某进口试剂血清符合率R2达到0.94以上。

图2. 博茵生物配对抗体与某进口试剂血清符合率
博茵生物CP73产品信息

杭州博茵生物技术有限公司
Hangzhou Biogenonme Biotech.Co.,Ltd.
地址:杭州市余杭经济技术开发区兴国路519号生物医学谷5号楼二楼
电话:0571-8902 6537 传真:0571-8902 6537
网址:www.biogenome.cn邮编:311188
邮箱:lyl@biogenome.cn
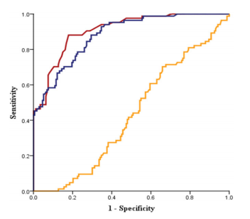
图2.GP73和AFP用于肝硬化与肝癌的诊断ROC曲线。AFP的曲线面积为0.78(95%可信区间为0.70~0.85)。敏感性60.7%,特异性75%。GP73的曲线面积为0.92(95%可信区间为0.88至0.96),敏感性为82.1%,特异性为80%。

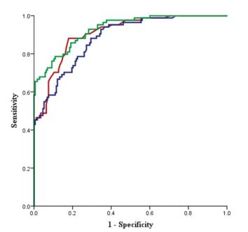
图1. AFP,GP73及GPC-3对于肝癌诊断的ROC曲线。GP73的曲线面积为0.88(95% 的可信区间为 0.84至0.92),AFP是0.90(95% 的可信区间为 0.87~0.94),GPC-30.43(95% 的可信区间为 0.36~0.50)。GP73和AFP对于肝癌无显著性差异。
图2 AFP,GP73及AFP+GP73对于肝癌诊断的ROC曲线。原发性肝癌的血清GP73和AFP联合AUC诊断率为0.93(95%可信区间为0.89~0.96)

扫描下载体外诊断头条APP
扫描关注CAIVD官方微信
扫描关注CAIVD官方视频号
扫描关注CACLP官方微信
扫描关注CACLP官方视频号
全国卫生产业企业管理协会实验医学分会
( 京ICP备15010734号-10 )



