
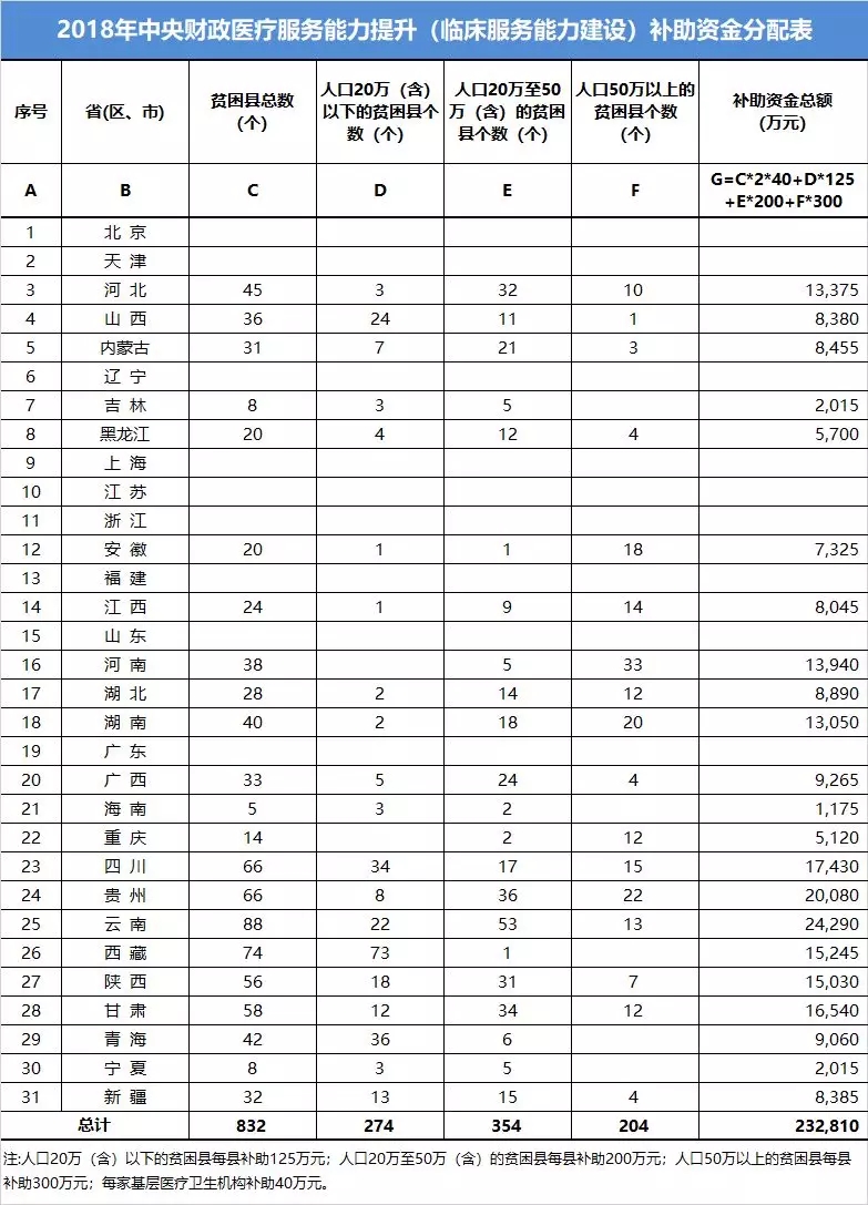
23.281亿元,中央财政下达2018年中央财政医疗服务能力提升(临床服务能力建设)补助资金。要对832个国家级贫困县,支持每个县一家县级医院、2家基层医疗卫生机构配置大批医疗设备。
23.281亿元,832个国家级贫困县大批医疗机构配齐设备
近日,财政部、卫健委联合下达《关于下达2018年中央财政医疗服务能力提升(临床服务能力建设)补助资金预算的通知》(以下简称《通知》)。

《通知》明确,中央财政累计下达23.281亿元补助资金,用于支持国家级贫困县县级公立医院临床服务能力建设和基层医疗卫生机构临床服务能力提升。
其中国家级贫困县一共832个,共涉及24个省/自治区。《通知》要求:
每县支持1家县级医院开展临床服务能力建设,其中,人口20万(含)以下的贫困县每县补助125万元、人口20万至50万(含)的贫困县每县补助200万元、人口50万以上的贫困县每县补助300万元,主要用于设备配备、适宜技术应用和人才培养等;
每县支持2家基层医疗卫生机构提升临床服务能力,每家基层医疗卫生机构补助40万元,主要用于设备配备和人员培养等。
从分配表可以看到,云南、贵州、四川下达财政补助资金的县数量位居前列,因此下达财政补助资金的金额也居前列。分别是24,290万元、20,080万元、17,430万元。
此次补助资金的下达,明确提出医疗设备配置是重点。不得不说,国家在对县级公立医院、乡镇卫生院改革的支持力度在不断加大!随着分级诊疗政策的推进,基层医疗器械市场已经进入加速发展的阶段。

一省立即落地!48个乡镇卫生院配齐DR、生化分析仪等设备
就在中央财政下达后不久,江西省就立即落地实施基层医疗机构临床服务能力建设,设备补齐。

2月26日,江西省卫健委发布《2018年度江西省国贫县基层医疗卫生机构临床服务能力提升试点项目实施方案》(以下简称《方案》)。
《方案》明确,本项目用于支持24个国贫县基层医疗卫生机构临床服务能力提升,实现每个项目县2所乡镇卫生院主要医疗检查检验设备数字化。
其中明确要为48家乡镇卫生院优先配备数字化直接成像系统(DR)、数字化心电图机、全自动生化分析仪和远程医疗接入软硬件设备。
在乡镇卫生院已经配备上述设备的前提下,可选择配备数字化彩色超声诊断仪、全科医生诊疗支持系统、合理用药辅助支持系统、数字化免疫接种门诊设备等软硬件装备。
而且此次设备配置项目,要在今年7月31日前全部完成。

国家卫健委:2020年前,县、乡、村三级医疗卫生机构全部达标
此次中央财政下达832个贫困县县医院、乡镇卫生院等基层医疗机构补助资金,并且已有省份立即落地实施,补齐配置相关设备。这正是由于国家卫健委年初下达了硬指标:
“国家卫健委1月10日举行新闻发布会明确,确保2020年以前贫困地区的县、乡、村三级医疗卫生机构全部达标!”
这也意味着832个国家级贫困县县级医院、乡镇卫生院、村卫生室要达标、升级!基层医疗设备缺乏成为重点解决问题。
2019年,将是分级诊疗持续深化的一年,也是国家对基层医疗机构政策支持达到高峰的一年,基层医疗市场的扩容绝对是几何级的。

附:

县医院医疗服务能力基本标准要求配备的“专科设备”
1、医学影像科
计算机X线摄影系统(CR)或直接数字化X线摄影系统(DR)
床旁X光机
计算机X线断层扫描(CT)
核磁共振(MRI)
彩色B超(心脏)
彩色B超(腹部、血管)
动态心电图机
心电图机
脑电图仪
肌电图仪
2、消化内科
电子肠镜
电子胃镜
3、心血管内科
电生理记录仪
射频消融仪
多导心电图机
除颤监护仪
心脏多普勒超声仪
呼吸机
监护仪
直立倾斜床
心脏临时起搏器
经食道心脏电生理刺激仪
运动负荷测试系统
4、内分泌科
动态血糖监测仪
快速血糖仪
胰岛素注射泵
5、神经内科
经颅多普勒仪
肌电图仪
6、血液内科
血细胞分离机
层流床
7、肾内科
双极反渗制水设备
血液透析机
8、普通外科
胆道镜系统
腹腔镜系统
9、骨科
关节镜
C型臂X光机
手术显微镜
10、神经外科
控温毯
颅内压监护仪
空气压力泵(防血栓)
电动或气动开颅系统
床旁呼吸机
输液泵
注射泵
床旁监护仪
11、泌尿外科
钬激光
输尿管镜
腹腔镜系统
尿流率
前列腺电切系统
膀胱镜
12、胸外科
胸腔镜
ACT测定仪
变温箱
制冰机
呼吸机
13、妇科
腹腔镜
宫腔镜
阴道镜
Leep刀
PK刀
14、产科
胎儿中央监护系统
超声多普勒脐血流分析仪
新生儿复苏抢救台
15、儿科
新生儿黄疸治疗箱
监护仪
氧驱雾化治疗仪
微量泵
婴儿保温箱
16、眼科
综合验光仪
超声乳化仪
眼压计
视野仪
直接眼底镜
角膜曲率仪
眼科A/B超
手术显微镜
17、耳鼻咽喉科
纯音测听仪
声导抗仪
鼻窦镜
电子鼻咽喉镜
鼻用刨削钻
食道镜
18、口腔科
综合牙科治疗椅
口腔牙片机
19、皮肤科
紫外线治疗仪
CO2激光治疗仪
电离子治疗仪
20、急诊医学科
贮气式防毒面具
洗胃机
心电除颤仪
呼吸机
监护仪
21、麻醉科
电动手术床与监护仪麻醉机数量相匹配
具备呼气末CO2监测功能的麻醉机
手术无影灯
电刀
双极电凝
快速高压锅(消毒)
视频喉镜
除颤仪
呼吸机
血气分析仪
纤维支气管镜
快速低温灭菌系统(腔镜手术必备)
肿瘤微创消融治疗设备
22、重症医学科
心电图机
血气分析仪
除颤仪
心肺复苏抢救装备车
便携式监护仪
功能架
微量注射泵(2通道)
防褥疮床垫
不间断电力系统(UPS)
床旁监护系统
呼吸机
控温仪
简易呼吸器
肠内营养输注泵
氧气接口
压缩空气接口
负压吸引接口
23、康复医学科
肌力训练设备
电动起立床
功率车
治疗床(含网架)
平衡训练设备
运动控制能力训练设备
功能性电刺激设备
直流电治疗设备
低/中/高频电治疗设备
光疗设备
超声波治疗设备
传导热治疗设备
牵引治疗设备
日常生活活动作业设备
语言治疗/吞咽治疗设备
针灸/推拿/中药熏蒸等中医康复设备
临床常用矫形器/辅助具制作设备
24、中医科
脉枕
针具
灸具
罐具
25、医学检验科
血凝仪
电解质分析仪
基因扩增仪
血流变仪
糖化血红蛋白仪
特种蛋白分析仪
血培养仪
尿中有形成分分析系统
细菌/药敏鉴定仪
电泳分析仪
流式细胞仪
血球分析仪(五分类)
全自动生化分析仪
全自动酶免分析仪
全自动化学发光仪
血气分析仪
急诊生化分析仪
尿液分析仪
生物安全柜
26、呼吸内科
肺功能仪
电子支气管镜
呼吸机(含部分无创呼吸机)
床旁监护仪
27、病理科
快速冰冻切片机
病理石蜡切片机
自动组织包埋机
自动组织脱水处理机
免疫组化仪
光学显微镜
28、输血科
储血专用冰箱
专用低温冰箱
试剂冰箱
标本冰箱
血小板保存箱
解冻箱
血型血清学离心箱
标本离心机
恒温水浴箱
显微镜
专用取血箱
29、消毒供应中心
环氧乙烷灭菌器
超声清洗机
封口机
制水设备
高压水枪
高压气枪
干燥柜
10万级层流净化
双门互锁柜
高压蒸汽灭菌器
全自动清洗机
生物监测仪
邮政编码:200052 电话:021-63800152 传真:021-63800151 京ICP备15010734号-10 技术:网至普网站建设