
江苏镇江公示耗材价格表,47种耗材产品降幅90%以上,这种“白送模式”你们是认真的吗?
镇江市药品耗材采购与监管平台发布《关于对部分医用耗材价格调平后采购价格的公示》,文件称,根据江苏卫计委、江苏政务服务管理办公室《关于印发<2018年全省医用耗材和检验检测试剂集中采购工作方案>的通知》(苏卫药政[2018]2号)的相关要求,文件对镇江市2017年集中采购过程中的部分医用耗材(已采集到的南京、苏州、泰州)价格调平后的采购价格予以公示。
还提出要求,本次目录中的产品,如省内其他城市还有更低价格的(包括已公示的),请相关企业根据省内其他城市的集中采购的最低价格,如实以书面形式于5月25日前提出价格调整申请。在后期采购过程中,我市将根据省内其他城市的采购价格,动态调平入围产品价格。
本次共公示产品价格7887种,其中没有降价的产品有4926种,降价50%以上的产品包括294种,其中不乏美敦力、威高、强生、史赛克这样的大牌械企,产品主要以骨科、口腔、体外循环及血液净化类产品为主。降价80~89%的产品有38种,无锡市闻泰百得医疗器械有限公司空心锁定螺钉和填塞钉的各种规格产品占了18种。
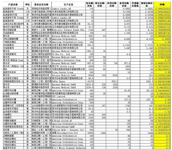
重点来了,降价90%以上的产品共有47种。
其中,1、百特的血液透析干粉原价115元,现拟采购价0.0881元;2、天津海诺德的医用透析粉原价19元,现拟采购价0.0158元;3、常州华岳微创的血液透析B干粉原价11元,现拟采购价0.0098元;以上三款产品均是集采到了泰州的采购价格,降幅高达99.9%。另外,威高、美敦力、上海利康的个别产品均进入到了降幅99%的行列当中!
表单如下:

今年2月,江苏省卫生和计划生育委员会、江苏省政务服务管理办公室发布《关于印发<2018年全省医用耗材和检验检测试剂集中采购工作方案>的通知》(下文简称《通知》),将耗材试剂分为3大类进行管理,最终实现统一编码、统一价格,预计2019年上半年,将所有耗材试剂编码完成并实现以省为单位进行阳光采购。
分类采购规则如下:
六大类高值耗材,省级挂网+地市议价
采购范围:血管介入、非血管介入、神经外科、起搏器、电生理、眼科等六大类高值医用耗材实施价格动态管理。
限价方式:企业需提供其产品的全国现行最低价,作为省级挂网价。地市组织医院与企业进行谈判,确认采购价。全省动态调整将于6月底全面完成,7月1日起正式执行。
五大类高值耗材,省级挂网采购
采购范围:骨科、普外科、心胸外科、体外循环及血液净化、口腔科等五大类高值耗材实施以省为单位统一阳光采购。
实施步骤:
一、共享泰州、南京等地的采购工作成果;2月,将泰州、南京等地骨科等五大类高值谈判价格成果提供给各设区市,由各设区市对本地区采购的同企业同类型产品价格进行梳理,就低调整价格。
二、纳入省平台进行分地区阳光交易。3月起,省平台进行升级改造,针对性设置12个地区模块(宿迁跟标南京),将各设区市五大类高值采购结果全部转移至省平台。7月1日,实现医疗卫生机构在省平台分地区阳光采购。
三、统一编码并启动以省为单位统一阳光采购。5月起落实,对各地区执行的骨科等五大类高值基础库和项目编码进行分类筛选,于12月底汇总形成统一编码并实现以省为单位统一阳光采购。
低值耗材+IVD,2019年底统一编码
采购范围:低值医用耗材和检验检测试剂实施阳光采购,将各设区市低值和试剂集中采购结果全部转移至省平台。
实施步骤:5月1日,实现医疗卫生机构在省平台分地区阳光采购。10月起,对各地区执行的低值医用耗材和检验检测试剂基础库和项目编码进行分类筛选,力争于2019年上半年汇总形成统一编码。
“全面省级招标”箭在弦上
这个价格表是用来调平全省最低价格纳入省平台,然后在改造升级后的省平台上实现分地区阳光采购!江苏省药品招标素以多方法、多形式、多套路闻名,江苏医药圈已被折磨得苦不堪言,这下试剂耗材大有顺势之意, 建议耗材试剂的朋友们多向还活着的药品前辈们取取经,虽不能阻挡政策,但是少走点弯路还是有可能的。
“四省一市”耗材联采蓄势待发
另外,《通知》表明国务院医改办正在力推四省一市药品耗材集中采购相关工作,目前四大明星联盟中西部联盟加上本月新加入的广西、贵州,已扩展到12省、三明联盟包括自治区、地级市、县级成员已达到52个、京津冀耗材第一批联采也到了谈判议价阶段,只有沪苏浙皖闽“四省一市”联采迟迟不见动静。
机构改革后,医保局将在耗材试剂招标采购上发挥极大导向作用,在5月11日的新闻联播中,官方首次曝光医保局地址,而且目前在32个新建和重新组建的部门中,只剩下医保局尚未挂牌,证明国家对医保局组建团队选择的慎重性和其重要性。
估计医保局挂牌后,首要任务就是“实现前任的诺言”——推进四省一市药品耗材集采,并且按照江苏此次安排的工作进度及地市率先压价的优秀成果,2018年四省一市高值耗材及试剂联采自然会水到渠成。
全面省级招标的脚步越来越近,采购联盟的价格联动步步紧逼,耗材试剂小伙伴们,一定吸取药品的惨痛经验,苦练内功,秉承敌退我进、敌进我退的基本方针,稳中求胜,才能步步为营。
邮政编码:200052 电话:021-63800152 传真:021-63800151 京ICP备15010734号-10 技术:网至普网站建设