
今年一月,欧洲临床化学检验医学杂志(CCLM),刊登了由著名意大利专家Dr Ferruccio Ceriotti主持实验评价工作的总结(Clin Chem Lab Med 2018;56(1):162-169)。文章题目是“在罗氏cobas上Diazyme和BRAHMS的降钙素原(procalcitonin)性能与BRAHAMS的PCT-灵敏的Kryptor比较的分析评价”。国内的很多公司,都在开发和供应检测降钙素原(PCT)产品。并且号称在临床使用中,完全可以使用与德国GRAHMS公司确定的判断限值。我一直很担心,这样的做法是否有问题?因为,至今几乎所有开发的PCT产品,均没有理解和使用与GRAHMS标准化一致的抗原制备的抗体。这篇文章如实叙述了不同PCT产品在使用中出现的很多具体分析性能和临床使用上的问题。非常值得大家阅读。为了方便大家对该文章的了解,我将文章在这里做概要介绍。
背景
降钙素原(procalcitonin)被认可为sepsis脓血症的标志物,它的使用正扩展到抗生素的stewardship管理。本研究目的是评价两个方法:Diazyme PCT/Roche cobas c 702(PCT-D)和BRAHAMSPCT/Roche cobas e 602(PCT-BR),与BRAHMS PCT-sensitive Kryptor(PCT-BK)的比较。
方法
按照CLSI EP5-A3在六个临界浓度处评估不精密度;按照CLSI EP17-A2检查检出限值(LoD);检测了线性;和对239例血清样品进行了方法比较。
结果
所有CV范围PCT-D的为:12.58%~5.97%;PCT-BR的为:3.94%~1.70%;PCT-BK的为:6.57%~1.90%。LoD:PCT-D为0.143 μg/L;PCT-BR为0.014 μg/L;PCT-BK为0.040 μg/L。功能灵敏度:PCT-D为0.045 μg/L;PCT-BR为<0.035 μg/L;PCT-BK为0.045 μg/L。线性:PCT-D达27.2 μg/L;PCT-BR达 68.7 μg/L;PCT-BK达43 μg/L。方法比较:PCT-D = 0.6543 PCT-BK + 0.014;r = 0.8463(但若计算0~5 μg/L为0.44);PCT-BR = 0.9125 PCT-BK + 0.021,r = 0.9917.Cohen's κ范围:在PCT-D和PCT-BR间,0.25 μg/L的45.2%到2.00 μg/L处的57.0%;而在PCT-BR和PCT-BK间,范围从0.25 μg/L的89%到2.00 μg/L处的81.3%。
结论
在PCT-D的性能与PCT-BR和PCT-BK的性能有显著差异,从灵敏度、精密度、线性、和临床判断限值的一致性上。对一些进行系列检测的患者,与参考比较得到了显著的离散结果。与Roche PCT检测相反,对于Diazyme检测产品看来使用BRAHAMS PCT判断限值是不合理的。
引言
降钙素原(PCT)是一个可溶性蛋白,释放进入血液循环,与显著的系统性炎症关联,主要因细菌感染所致。它已经被认可为细菌感染、在well-defined明确的临床亚组和败血症的标志物等的标志物。升高的PCT浓度(PCT>0.5到>2.0 μg/L)对诊断败血症、重症脓毒症或感染性休克,具有很高的阳性预期值。相反,正常的或非常低的PCT血浆浓度对于排除严重系统性炎症或败血症有很高的阴性预期值,并提供给医师重新评估疑似诊断的指导。
没有任何细菌感染的参考个体,以某个超灵敏的检测方法检测时,通常具有的PCT水平<0.05 μg/L(97.5%百分位数);在使用临床常规中任何近期可用的灵敏PCT检测方法,发现明确地低于0.1 μg/L。为各个临床情况下建立的,PCT有不同的临床判断限,用于急救护理和败血症的有较高的判断限;而在免疫功能不全的患者、或指导抗生素使用决定的,判断限就较低。以PCT为基础的临床处理考虑,已经被提议去指导对下呼吸道感染(LRTI),包括急性肺炎、慢性阻塞性肺病的急性恶化和急性支气管炎,以及危急的疾病患者。对社区获得性急性肺炎也已经被提议为成年人和儿童使用PCT。使用它作为细菌感染的标志物,在明确确定的临床群体和败血症,和作为抗生素的指导,依赖上述提及的决定限值。
而且,在不同环境下使用PCT,增加了对低浓度范围检测的重要性。还有,很重要的是,PCT水平不仅在临床背景下进行严格的解释,而且要考虑使用的特定PCT检测方法的技术性能。后者与临床判断限值关联,而这已经被使用BRAHAMS 的PCT灵敏的Kryptor检测方法设定,所以,不同方法(不同的试剂来源)使用相同的限值,要求有非常良好的分析性能和与确定的方法的可比性。
本工作的范围是,分析DiazymePCT(应用于COBAS系统c 702)(PCT-D)和Elecsys BRAHMS PCT(在COBAS e 602上)(PCT-BR),与BRAHMS PCT-灵敏的Kryptor(PCT-BK)的比较。
具体分析性能的数据

图1为三个方法的功能灵敏度实验结果。
该图也反映不精密度的情况。图中每点为10次检测(在5天内每天的双份检测)的CV。PCT-BR和PCT-BK实验了相同的混合血清;PCT-D实验了不同组的混合血清。


图2、(A)为PCT-BK和PCT-D的方法比较散点图。两条虚线代表了95%的可信区间以引导(百分位数)方法计算了95%可信区间。(B)它代表了图2A中范围在0~1.0 μg/L放大的图像。蓝色线为回归线,红色线为95%可信区间。

图3、(A)为PCT-BK和PCT-D的方法比较散点图。两条虚线代表了95%的可信区间以引导(百分位数)方法计算了95%可信区间。(B)它代表了图3A中范围在0~1.0 μg/L放大的图像。该图中深色线分别代表0.25、0.50 μg/L的临床判断限值。蓝色线为回归线,红色线为95%可信区间。
在方法比较中,出现了未预料的PCT-D的结果。它与参考方法(PCT BRAHMS kryptor)间的相关很差(r = 0.44,这是对低浓度样品比较到5 μg/L计算的)。在图2A中存在了某些异常高的结果(图2A)。在图2B中,PCT低浓度出尚无相关。关于离散结果的评估和方法偏移可见表3。在数据汇总中,已经反映出PCT-D有很高数量的假阴性和假阳性,特别对于较低的判断限值。PCT-D对于参考方法的显著偏移,加上它自身的相对较高的不精密度,特别在较低浓度。因此互相关联的比对很差。为了证实在PCT-D和PCT-BK间很差的相关的问题,特别绘制了两个方法与PCT-BK值间的%差异图,集中于较低浓度范围(图4)。

图4、PCT-D和PCT-BK间百分差异与PCT-BK值的关系
图中灰色区域为可接受的总误差。红色线为两个方法的综合不精密度的预期离散限。(0偏移,两倍于综合标准差)。蓝色线为考虑综合的不精密度和校准品偏移(-33.7%)的限值限。

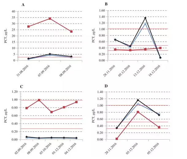
图5、四例患者(A~D)具有的PCT-D对于PCT-BK/PCT-BR离散结果与时间的关系。图中,方块为PCT-D结果,圆形为PCT-BR结果,菱形为PCT-BK结果。图中的两条红线为临床判断限值。
表3 为比较中的两个方法间离散样品的频率(Y对X),以及百分偏移的估计
看来,在PCT浓度<0.5 μg/L的差异是显著的部分,这是因PCT-D的很大的不精密度,并综合了有关的标准偏移(-33.7%)。但是,几乎40%的样品PCT浓度<0.5 μg/L,显示了与样品有关的差异达到300%。但PCT-BR则显示了,几乎所有样品在±20%的可接受误差之内,仅在<0.25 μg/L处出现了较高的%差异。
得到的结果仅部分与Dipalo等报告的不同。事实上,仔细观察在低浓度范围的相关图,离散很大;而且,在0.25和0.50 μg/L报告的κ值也很低(各自为0.14和0.24)。作者更集中关注在较高判断限处,以判断一致性的水平。事实上,他们建议使用确认方法去考虑Diazyme结果<0.26 μg/L。但是,如果按照这个概念和也考虑在判断限<0.5 μg/L处非常差的性能,正如我们研究确认的,可能许多更多的样品会需要重新检测,因为在我们的实践中,接近三分之二的临床常规样品具有的PCT<0.5 μg/L。
PCT-D的优点是可应用在通常的临床化学分析系统,在较短的时间内提供结果,并潜在地价格较低;但是与参考间很差的已知悉,正如由定性κ值反映的在所有四个检测的判断限值处的表现,应对它的使用给予关注。在鉴别诊断或颗粒使用抗生素治疗的,特别对具有LRTI的患者,使用PCT-D有显著数量为假阴性。
很难假设,这个差异性能的原因。尽管一般较低检测灵敏度会对免疫比浊检测带来影响,它们看来也还有其他方面影响特定的检测性能,如校准、对干扰物质的封闭等,但也潜在地因使用的抗体的问题,正好与BRAHMS检测方法不同,Diazyme没有更多的信息可用。
对出现与PCT-BK/PCT-BR完全不同的响应的某些样品,也可能提供一些解释。进一步研究应被要求理解PCT-D与PCT-BR和PCT-BK不同表现的原因。
与PCT-D不同的,在PCT-BR和PCT-BK间的比较,显示了正如以往非标的数据那样,有非常好的相关,如前述数据的描述。PCT-BR出现的较小的低估(斜率0.912),非常类似于厂商报告的,被解释是两个方法间的一致性<100%(也可见本实验评价的数据)。但是,在PCT-BR和PCT-BK间很高的一致性可展现在所有分析的判断限值处。所以,它可总结出,PCT-BR可分享相同的判断限值和被PCT-BK确定的临床使用做法。由使用PCT-BR与PCT-BK一起的支持,在近期发表的随机化控制的介入性试验中,对危急的患者使用了一个临床做法,由PCT指导的管理,依据PCT下降>80%、和/或PCT<0.5 μg/L的、并出现了临床改善的,可以停止使用抗生素。在低PCT浓度处的极其良好的精密度,使得方法非常好地适合不同的诊断,以及对LRTI或疑似或确认的系统性细菌感染/败血症的患者,以PCT为基础的指导抗生素治疗。
上述的文章介绍,很清楚地说明,任何一个PCT产品在临床上的使用,必须首先要验证它的分析性能。实验室必须选择在分析性能上符合要求的产品。在各个分析性能上,不精密度是第一位的!接着应是线性和分析灵敏度关联的性能。在上述Diazyme公司的PCT产品已经被欧洲一些国家认可的情况下,依然在与经典的GRAHMS产品比较中,出现了那么多的假阳性和假阴性!问题是非常明显的。而且在观察分析性能时,特别要关心的是常规检测PCT样品中,有三分之二的样品内PCT含量很低。而其中恰恰是需要临床实验室拿出真实的结果提供给临床,因为其中包含了很多就是要鉴别是否是真阳性还是真阴性的结果!
所以,仅仅对PCT检测结果很高的样品进行比对,认为与GRAHMS产品结果一致就可以了,非常危险!
呼吁临床实验室学习这篇文章中如何评价一个PCT产品的做法,然后再去评估准备采用的产品分析性能!所有做法都是为了临床得到可靠结果!最后是让患者得到真正的治疗!
邮政编码:200052 电话:021-63800152 传真:021-63800151 京ICP备15010734号-10 技术:网至普网站建设