
问题1:对心梗患者的诊疗如同与死神赛跑,必须争分夺秒。复旦大学附属中山医院作为全国心血管和急诊领域的顶尖医院之一,检验科是如何满足临床与患者对准确、快速的检验服务需求?
复旦大学附属中山医院作为中国胸痛中心示范基地之一,每年诊治急性心肌梗死(AMI)患者超过1000例。胸痛中心要求20 min内出具高敏肌钙蛋白T(hs-cTnT)结果,因此对检验科提出了更高的要求。对检验科而言,优选检测方法、优化检测流程是保证质量的前提下提速的关键。
为保证胸痛中心患者得到快速有效的诊断,检验科通过融入精益化管理理念,持续优化hs-cTnT检测流程。分析了从医嘱申请、患者付费、标本采集、试管选择、样本转运/接收/编号到样本离心、上机检测、结果审核全过程中的限速环节,并逐一进行优化提速,在开单模块中设置急诊胸痛中心专用医嘱包,为胸痛患者设立抽血优先窗口、先抽血后付费、设置特殊抽血管区分(使用血浆标本代替血清标本)、特殊标本单独处理、实现自动编号下单和独立离心、并在仪器旁设置闹钟提醒(时间为9 min),从而提高整个流程速度[1]。
分秒必争,时间就是生命。从抽血到出具报告,让精益化管理渗透到各个环节,对检测周转时间(TAT)的每个环节都进行优化,通过上述措施,检验科将胸痛中心hs-cTnT实验室检测的TAT严格控制在20min以内,实现胸痛中心心梗检测项目标杆式的“上海速度”!
问题2:团队在CCLM杂志发表的最新研究揭示了hs-cTnT用于NSTEMI患者风险分层的新价值。最初是基于怎样的诊疗需求,促使团队开展这项研究?从检验医学的角度看,此次研究结果对心肌标志物的临床应用有哪些突破性意义?
从检验医学的角度看,在中国急诊科,疑似急性心肌梗死(AMI) 患者中病因不明者占比较高,这一问题日益突出。不同检测平台的高敏肌钙蛋白快速检测算法已用于急诊胸痛患者的NSTEMI风险评估,帮助急诊科医生快速做出决策。根据欧洲心脏病学会(ESC)指南,推荐的单一hs-cTnT排除切点和纳入切点分别为5ng/L和52ng/L 。而在这项针对中国患者队列的研究中,有几项发现具有突破性意义:首先,确立的排除切点高于推荐切点,且男性特异性排除切点比女性特异性排除切点高1ng/L(男女性的排除切点为10ng/L和9ng/L),纳入切点与推荐切点相近;其次,与通用切点相比,性别特异性切点对风险分层诊断效能的影响有限,仅能提高女性患者的诊断安全性;最后,应用性别特异性切点后,疑似 NSTEMI 患者的随访结果并未改变[2]。
问题3:在对疑似NSTEMI患者进行风险分层时,性别特异性hs-cTnT切点与通用切点在诊断效能及安全性上有何差异?能否详细分享相关内容?
在研究中,我们比较了性别特异性切点和通用切点,两者在纳入诊断中未表现出明显差异;在排除诊断方面,男性与整体人群在阴性预测值(NPV)、敏感度、排除效率、阳性预测值(PPV)及总体效率上无差异,但女性采用性别特异性切点可将灵敏度从98.7%提高到99.7%,增加了排除诊断的安全性(表1)。
表 1:统一切点与性别特异性切点性能的比较
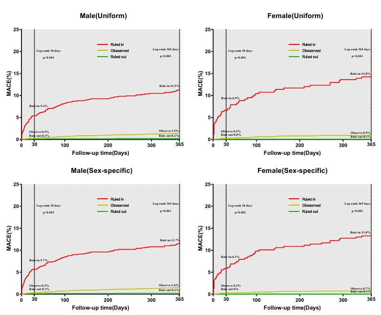
基于性别特异性hs-cTnT切点,男性排除组、观察组和纳入组的30天主要心血管不良事件(MACE)发生率分别为0.1%、0.3% 和5.7%,女性对应组30天MACE发生率则分别为0.0%、0.3%和6.1%,与采用通用切点得到的患者随访情况较一致(图1),其他诊断效能与通用切点无显著差异(图2)。
图1.根据通用和性别特异性切点诊断后患者1年内MACE的发生情况
图2.两种0-h hs-cTnT切点的诊断效能
问题4: 既往中山医院急诊科开展过的一项研究指出,可采用HEAR评分系统加0h hs-cTnT对患者进行风险分层,请问本研究中确立的hs-cTnT切点与该评分系统在诊断性能上存在何种差异?
中山医院急诊科姚晨玲主任团队基于2019年急诊科胸痛患者确立了一种新的HEAR通路算法,该算法通过对病史、心电图、年龄、危险因素和初始 hs-cTnT结果进行评分,可排除20.9%的患者。而本研究在2020年的推导队列中比较了性别特异性0h排除算法与HEAR通路算法的性能。两种算法在排除入院NSTEMI和30天MACE方面均具有足够的安全性,但HEAR通路算法的排除效率相对更高(男性患者多排除5%,女性患者多排除3.5%)。然而,HEAR通路评分需要临床医生根据患者的病史、危险因素等进行综合评估,相比之下,本研究的算法仅通过hs-cTnT水平和性别即可对患者做出早期诊断,可帮助急诊科医生快速做出决策[2,3]。
表2:性别特异性hs-cTnT切点与其它诊断策略的比较
●快速对疑似NSTEMI患者进行精准分诊是采取有效治疗的前提,hs-cTnT是NSTEMI患者风险分层、诊断、治疗和预后判断的首选心脏标志物, 并且上市15年来一直在更新临床证据来满足急诊胸痛患者的快速诊断需求。
●复旦大学附属中山医院检验科和急诊科团队在CCLM杂志发表的最新研究探索并验证了性别特异性的hs-cTnT切点能够更安全地排除女性患者,同时在整体患者的诊断效能和预后随访方面与通用切点一致,这一发现为性别特异性hs-cTnT诊断流程的临床应用效果提供了重要参考,实现早期诊断,助力临床快速决策。
受访单位:
复旦大学附属中山医院检验科
参考文献:
1. 郭玮.中华急诊医学杂志,2020,29(11):1385-1387.
2. Zhang A, et al. Clin Chem Lab Med. 2025 Apr 17;63(7):1443-1452.
3. Chen C, et al. Diagnostics (Basel). 2023 Oct 16;13(20):3217.
邮政编码:200052 电话:021-63800152 传真:021-63800151 京ICP备15010734号-10 技术:网至普网站建设