
色谱分离柱是高效液相色谱(HPLC)分离过程中的核心,必须引起HPLC色谱工作者的高度重视。目前国内外已经有不少厂商正在专门研发、生产各种不同类型的HPLC色谱柱。有些HPLC仪器的生产厂商,也在研发、生产HPLC色谱柱,与自己生产的高压恒流泵、检测器组成HPLC系统销售。
由于HPLC具有高速度、高分离效率、高灵敏度等优点,所以其仪器和应用发展很快[1]、[2]。HPLC是一个包括高压泵、色谱柱、检测器的完整系统[1],对HPLC分离柱(包括填料)的研发、制造和使用,都有很高的要求、很大的难度。本文根据仪器学理论、分析检测实践的要求,和作者长期研发HPLC仪器、使用HPLC仪器和色谱柱的经验和教训,重点讨论HPLC分离柱及其有关问题,供有科技工作者参考。
HPLC色谱分离柱的核心是填料和几何尺寸,它们都直接影响柱效;例如柱的几何尺寸,直接影响柱效。对使用者来说几何尺寸也非常重要。它包括:柱长、柱子内径、填料颗粒大小(直径)、柱填充密度和均匀性等等。几何尺寸种类繁多,数值各异,因篇幅所限,此不赘述。
2主要性能指标[3]理论塔板数(柱效)
理论塔板数(柱效)是衡量色谱柱分离效率高低的指标,使用者希望HPLC的色谱柱分离效率高者好,所以,理论塔板数高者为好。
分离度
分离度是HPLC色谱柱一个非常重要的技术指标。也是一个容易被生产者、研发者、使用者忽视的指标。分离度通常被定义为:相邻组分色谱峰保留值(时间)之差△t与色谱峰平均峰底(w1+w2)/2之比。常用R表示。
分离度的图解如下所述:图中tR1、tR2为保留时间;w1、w1为峰底宽。
分离度R等于1时,两个色谱峰得到基本分离;R等于1.5时,两峰得到完全(基线)分离。在定量分析中,要对色谱峰进行积分时,最少要达到R为1,如果达到R>1.5,就可以保证积分中基本没有误差。
分离度的数学表达方程式[3]
分离度方程式描述了分离度与选择因子、柱效和容量因子之间的关系;它是评价一张色谱图以及如何解决、开发和优化分离方法的依据。所以,分离度是一个非常重要的性能技术指标。
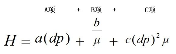
速率理论[3]
1956年,Van Deemter提出,样品峰在色谱柱内的展宽原因如如下所述:
式中:
A 项 涡流扩散/粒子间通道. 取决于颗粒大小;
B 项 分子的轴向扩散. 反比于流速;
C 项 传质阻力. 正比于流速和颗粒度的平方。
核壳柱的出现,是近几十年来,HPLC的重大突破之一,值得特别重视。目前月旭、纳微、福立等正在研发、生产不同类型的核壳柱,下面对核壳柱的主要优点简单介绍之。
(1)核壳柱耐压性好、反压低
大多数HPLC系统最高限压是6000 psi(400 bar)或更低。当填料粒径减小,反压会明显升高,使用亚2 微米的粒径填充的色谱柱时,常常在超过6000 psi时,才可获得最佳流速,这就需要购买更昂贵的“超高压”设备才能获得最佳分离性能。与3.5微米粒径填料相比,尽管核壳柱也会产生稍高的反压,但它仍能用于大多数普通的HPLC设备。
(2)柱效极高
同样长度的色谱柱,核壳色谱柱的理论塔板数约是3.5 µm颗粒色谱柱的2倍,是5 µm颗粒的色谱柱的3倍。
(3)分离速度快
图中显示了在HALO Peptide ES-C18柱上多肽的快速分离,9种多肽和2种蛋白质在60秒内都获得了极好的分离度。
(4)稳定性好(重复性好、漂移小)
(5)所需溶剂少,利于环保
主要是柱子短、填料颗粒均匀、核壳型结构等原因使流动相流径短,从而节省了大量溶剂。
下表是以某品牌乙腈(500元/4L)为例
要充分认识科学仪器的重要性、要重视仪器学理论
早在100多年前,著名科学家门捷列夫(1834-1907)就曾说过:“没有测量,就没有科学”。科学仪器是测量的最基本、最重要的工具。科学仪器的创新将会引发科学技术的重大突破,带动社会经济的重大变革和进步。
在国计民生中,科学仪器已显示出非常重要的作用,可以说科学仪器已经起到了以下作用:工业生产的“倍增器”、科学研究的“先行官”、军事上的“战斗力”、 国民活动中的“物化法官”等等的关键作用。所以广大科学仪器研发者、生产者、使用者都应该真正认识到科学仪器的重要性。然而,目前,我国的广大科技工作者中,还有很多人,虽说每天都在使用科学仪器,但是对仪器的认识还是有不少差距;例如:自己使用的HPLC仪器有哪些最重要的技术指标、哪些技术指标对分析误差会产生很大的影响。如何评价选择分析仪器、如何选择HPLC仪器的分析测试条件、如何保证分析误差最小、如何得到最佳分析检测数据等等,很多HPLC仪器使用者还是没有搞清楚或还没有真正完全搞清楚这些问题。其实,这些问题,从仪器学理论中,都能全面的、清楚的找到答案。仪器学理论是一门涉及到光学、机械学、电子学、计算机、使用等等各个方面的学科。它是一把金钥匙,可以使你一通百通、可以使你研发生产出可靠性好的优质仪器,可以保证你把仪器用到最佳状态,保证得到最佳分析检测数据。所以,这些问题,必须引起广大从事科学仪器研发、应用的科技工作者们重视。
应该充分认识HPLC是由泵、柱、检测器组成一个完整系统的特点[5]
从仪器学理论和分析检测工作的实际要求着眼,研发生产HPLC分离柱及其填料的厂商,应该从整体出发,同时研发、生产HPLC的恒流泵和有关检测器,以提高我国HPLC仪器整体(系统)的水平。目前很多研发、使用HPLC的科技工作者,没有搞清楚或没有完全搞清楚HPLC中的泵、柱、检测器三者的关系。目前,国内外很多生产厂商只是生产泵、检测器,色谱柱子大多都是外购件。我们说HPLC是一个系统,是指泵、柱、检测器三者组成的一个完整的系统。如果只生产泵、检测器,就不能说是生产完整的HPLC仪器,只是生产了HPLC的两种部件,再买一根色谱柱组装成一台完整仪器后出售。所以,这样生产的HPLC系统,到了用户那里,总是不好用或者不大好用。而广大使用者,由于没有将HPLC的泵、柱、检测器三者互相影响的关系搞清楚,所以很多使用者不能将HPLC用到最佳水平、不能得到误差最小的最佳分析检测数据。从仪器学理论和本人长期的研发和使用HPLC的实践经验来看,作者认为HPLC的研发、使用者,应该特别重视处理好以下几个问题:
(1) HPLC是一个系统,必须将泵、柱、检测器三者(三个部件)结合起来才能叫HPLC仪器。只有三者分别都合格,三者联机后也合格,才能说这台HPLC合格。三个部件有一个不合格,联机后的整机系统肯定不合格。即使三个部件都合格,联机后,也不一定合格。只有泵、柱、测器三者质量都合格,并且联机后整机检测结果也合格,才能说明这台HPLC仪器是合格的。
(2)本人长期使用过HPLC,也研发HPLC仪器,实践使本人深深认识到:必须将三个部件联接起来检验测试,并能达到质量指标要求,才能说这台HPLC达到了质量要求。否则,只能说是部件合格,而整机系统不一定能合格。为什么? 因为:
①泵会因为柱子问题产生压力不稳、流量不稳定,会影响HPLC系统的质量;
②柱对泵影响很大:柱堵塞、柱沾污、柱接头漏液等,都会影响泵的压力波动、使流速不稳定,会影响系统不稳,使RSD变坏、峰拖尾、灵敏度降低;
③柱对检测器影响很大:柱效降低(柱塔板数降低)、柱堵塞、柱的新旧程度、接头、管道漏液等,都会影响检测器的检测限、分辨率、噪声、和灵敏度。
但是,色谱柱是易损件,用户会经常在色谱柱长时间使用后换新柱,此时HPLC系统的泵和检测器基本进入“电子元件失效理论”的盆底,比较稳定了。所以,不会因为换新柱而产生仪器不能使用的问题。特别应该指出的是:用户换新柱后,一般不检测系统的综合指标。如果检测指标,可能就不能达到原出厂指标(因为泵和检测器经过较长期使用后,质量会有所下降,旧泵、新柱、旧检测器三者不能达到最佳配备),但是不会影响使用。
用户换新柱不会影响使用的问题,可以从计量认证标准规范(JJG)得到佐证。JJG检验的仪器,很多是在用仪器,它明确规定被检仪器的指标可以比新出厂的仪器指标低,甚至有些指标因为达不到要求而免检。但我们的制造企业,在仪器出厂前,必须检测系统的指标,只有系统指标达到设计要求时,才算合格,才能出厂。至于用户换新检测器、换新泵、同样都是允许的。
④检测器更是直接影响分析测试数据可靠性的关键部件之一,研发者、生产者、使用者都必须高度重视之,才能得到优质的HPLC系统。
核壳柱是新型色谱柱,是HPLC技术的最重大的突破。
如前所述,核壳柱有很多优点或特点,它是保证高分离效率、保证HPLC高灵敏度、保证高速度的关键所在。并且,它有很多潜力可挖。所以,我们应该花大力气去研究核壳柱及新型的色谱柱。
邮政编码:200052 电话:021-63800152 传真:021-63800151 京ICP备15010734号-10 技术:网至普网站建设