
自从有了临床实验室定量检测以来,临床实验室一直采取方法学比较,了解某个新方法与实验室使用的传统方法间,在检测病人样品中,是否具有一致的检测结果,以此确定新方法可否替代原传统方法,用于每天对新鲜病人样品的检测,出示报告。这样的做法使临床在使用检验报告时,不因检测方法改变造成检测结果的明显差异。
临床实验室对方法学比较实验数据的统计处理,很早使用配对t-检验。但是t-检验仅仅对两个比较方法检测结果均值处,有无显著性差异的检验。难以对一组样品具有分析物浓度分布范围很宽的检测结果,都给予更好的归纳分析。相比之下,直线回归统计具有更好的度量。
一、方法学回归统计的类型
当今,在临床实验室用于方法学比较数据回顾分析的统计方法有多个。大致上,有以下三个回归统计:
1、一般最小二乘直线回归统计(OLR);是一般实验室用得最多的;
2、Deming回归;
3、Passing-Bablok回归。
以上这三个回归统计程序(方法)都是针对比较检测结果的数据间的分布呈直线趋势使用的。
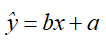
直线回归统计结果均以直线的斜率和截距表示。例如,一般直线最小二乘回归统计,得到的统计式为:
b为直线斜率;a为统计直线在y轴上的截距
斜率b与1的差异,反映两个比较方法间具有系统比例误差;a与0的差异说明比较方法间具有恒定误差。由此,可以在比较样品具有的分析物浓度分布范围内的任何处,均可了解两个方法间具有的系统误差。
三个回归统计对于两个比较方法的每个样品检测结果中的随机误差,有不同的处理方式。
1、一般直线最小二乘回归统计,规定比较方法( xi)没有随机误差。两个方法间出现的误差,均被视为是另一个比较方法具有的误差所致。
2、Deming统计则认可两个比较方法在比对中均具有随机误差。
3、Passing-Bablok统计更宽松。不考虑随机误差有多大,因为这个回归统计不涉及比对数据的随机误差。
参考物质(包括正确度控制物质和室间质量评估物质)互换性,需要以实验确认。按照IFCC的2018年互换性评估方案,使用了一组具有代表性的人新鲜样品,进行方法学比较。在比较中加入需要评估的参考物质,同时参与比较。从比较中,如果展现了参考物质在方法学比较中的表现,与新鲜病人样品的比较非常一致,即可证实,参考物质在常规检测程序或检测系统的检测结果表现,与新鲜病人样品检测具有互换性。
我的说明
与日常对常规检测程序对病人标本检测具有的系统误差分析一样,互换性评价实验也采用了方法比较实验。并且对实验数据的统计分析也是回归统计。在Dr Miller等的IFCC互换性实验评估中,指出最后评估的数据采用回归分析予以估计。而且还针对三种回归统计做了评估。认为应该使用Deming回归为好。
究竟对两组数据比较中,以回归统计进行归纳分析,需要怎样理解和怎么做?我也注意到EP09-A3文件中,介绍了这三个回归的内容。为了让临床实验室同道对回归统计有更多的了解。之后的文章,我就自己在学习与以往实验经验基础上,说些我对这些回归统计的理解。供参考。
邮政编码:200052 电话:021-63800152 传真:021-63800151 京ICP备15010734号-10 技术:网至普网站建设