
近日,复星医药在股东大会上回复投资人问询时表示,药监局对mRNA新冠疫苗“复必泰”的审定工作已经基本完成,专家评审已经通过,目前正在加紧进行行政审批阶段。
“我们和药监局等部门的沟通很顺畅,有关部门对疫苗审批也是一分一秒抓得很紧。”复星医药董事长兼CEO吴以芳说,在供货问题上,复星医药已经与BioNTech提前启动生产准备工作,复必泰疫苗一旦获批,将在第一时间供应到国内。
复星医药mRNA新冠疫苗来自与BioNtech合作获得大中华区权益。2021年1月和2月,BNT162b2先后获得香港和澳门的批准,香港向复星医药订购750万剂mRNA新冠疫苗,澳门向复星医药订购40万剂mRNA新冠疫苗。2021年7月11日,复星医药发布公告,宣布向台积电、鸿海、永龄基金会委托的裕利医药销售1000万剂mRNA新冠疫苗,这些疫苗将被买方捐赠用于台湾疾病管制机构用于当地接种。
2021年5月9日,复星医药宣布与BioNtech在中国设立合资公司,用于mRNA新冠疫苗的本地生产。复星医药出资1亿美元,BioNtech以专利技术和生产技术入股,双方各占股50%。
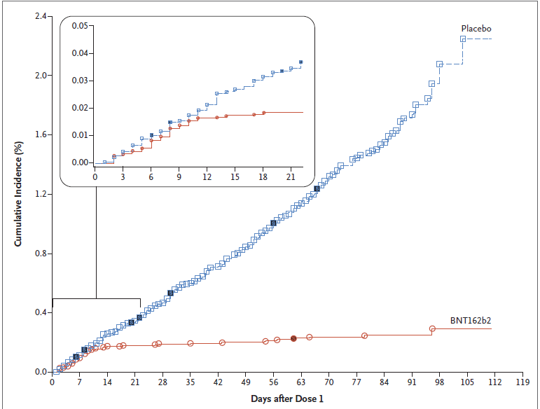
BioNtech与Mdoerna的mRNA疫苗保护率均在95%左右,为目前有效率最高的新冠疫苗。下图为BNT162b的临床数据。
BNT162b2很快将成为国内首个mRNA新冠疫苗。2021年一季度,BNT162b2的销售额为34.62亿美元,预计全年将超过260亿美元。Moderna一季报显示,mRNA-1273的销售额为17.33亿美元,预计全年超过192亿美元。
邮政编码:200052 电话:021-63800152 传真:021-63800151 京ICP备15010734号-10 技术:网至普网站建设