
北京时间9月27日,深圳市亚辉龙生物科技股份有限公司全自主创新研发的新型冠状病毒(2019-nCoV)IgM抗体检测试剂盒(磁微粒化学发光法)、新型冠状病毒(2019-nCoV)IgG抗体检测试剂盒(磁微粒化学发光法)获得国家药监局医疗器械注册证批准(注册证号:国械注准20203400769、国械注准20203400770),进一步助力新冠肺炎疫情防控。

从2020年2月起,亚辉龙iFlash 3000化学发光仪及配套的新冠病毒IgM和IgG抗体检测试剂先后在全国各大医院装机。同时,亚辉龙新冠试剂也走出国门、走向世界,先后应用于德国、瑞典、意大利、丹麦、法国、日本、比利时等多个国家和地区的数十家知名科研机构和医疗机构,试剂性能得到国内外专家的高度赞扬和一致好评。
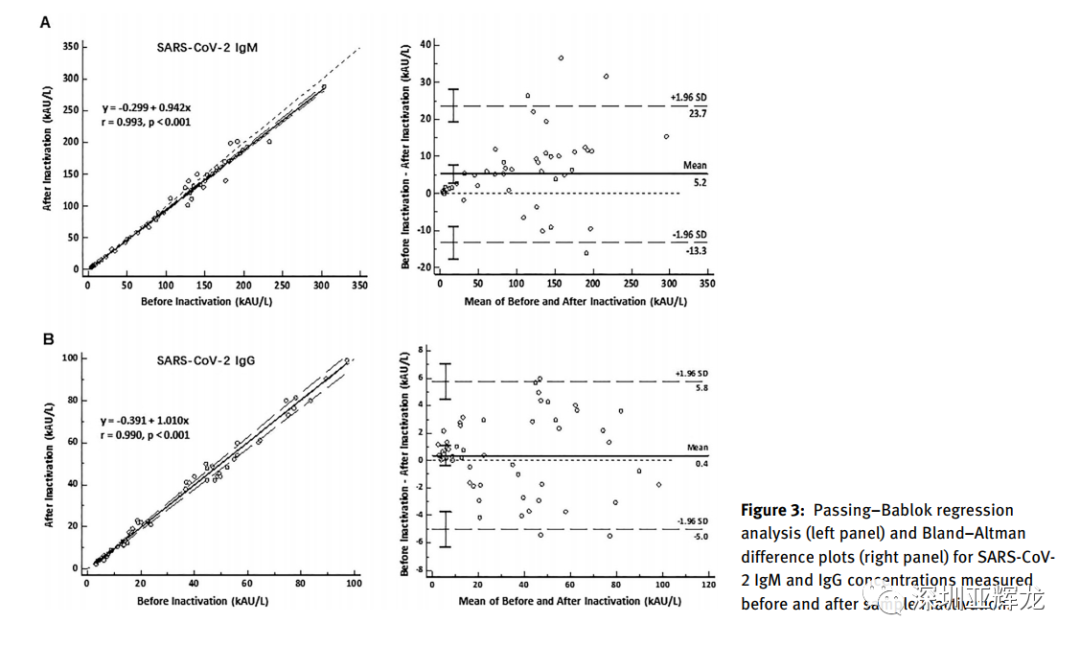
此前,由华中科技大学生命科学与技术学院、深圳市亚辉龙生物科技股份有限公司及国内十家知名医疗机构合作开展的《Development and multicenter performance evaluation of fully automated SARS-CoV-2 IgM and IgG immunoassays(全自动新型冠状病毒IgM和IgG免疫分析方法的建立及多中心性能评估)》正式发表在2020年第9期的《Clinical Chemistry and Laboratory Medicine(临床化学与检验医学)》,影响因子3.595分。

该文首先详细介绍了亚辉龙化学发光法新型冠状病毒IgM和IgG抗体检测试剂的研发过程和优异的基础性能。经评估验证,该检测方法具有良好的精密度,新型冠状病毒IgM和IgG抗体检测的重复性分别为2.80~4.32%和3.11~4.30%,实验室内精密度分别为3.02~4.45%和3.12~5.13%,且样本经56℃30分钟灭活后不影响检测结果。

截止到2020年9月底,全球已有数十家知名科研机构和医疗机构使用亚辉龙新冠病毒IgM和IgG抗体检测试剂完成并发表了100余篇高质量的学术论文,包括《JAMA(美国医学会杂志)》、《The Lancet Infectious Diseases(柳叶刀传染病)》、《BMJ(英国医学杂志)》、《Cell(细胞)》、《Nature Communication(自然通讯)》、《Nature Cell Research(自然细胞研究)》、《Clinical Infectious Diseases(临床传染病)》等顶级SCI杂志,累计影响因子超过300余分,成为全球新冠抗体检测试剂发表学术论文最多的品牌!
邮政编码:200052 电话:021-63800152 传真:021-63800151 京ICP备15010734号-10 技术:网至普网站建设